Отбор задач на спринт
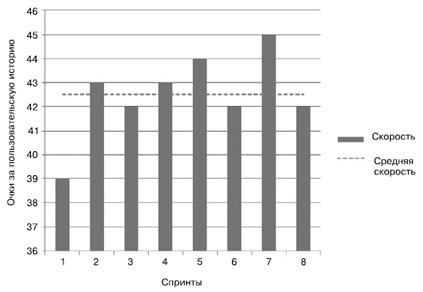
Команда отбирает задачи на спринт в соответствии со своей скоростью и приоритетами, установленными владельцем продукта. Скорость прогнозируется на основе эмпирических данных за прошлые спринты с учетом реальных обстоятельств, например болезни или отпуска сотрудника.

Скорость команды за последние восемь спринтов
На схеме, изображенной ниже, в спринт отбираются истории пользователей A, B, C, D и F.

Отбор элементов журнала пожеланий продукта в журнал пожеланий спринта
Более 800 000 книг и аудиокниг! 📚
Получи 2 месяца Литрес Подписки в подарок и наслаждайся неограниченным чтением
ПОЛУЧИТЬ ПОДАРОК
Содержание
История
История
Loading ...
Failed to load data.
{{name}} | {{author}}