Ведомость аналитического учета

В программе «Парус – Предприятие 7» реализована возможность формирования разнообразных ведомостей аналитического учета, в разных представлениях и разрезах. Для перехода в соответствующий режим выполните команду главного меню Отчеты ? Ведомости аналитического учета – в результате откроется окно, изображенное на рис. 6.36.

Рис. 6.36. Настройка ведомости аналитического учета

В данном окне в поле Счет из раскрывающегося списка или из Плана счетов, открываемого по кнопке выбора, нужно выбрать счет, по которому будет сформирована аналитическая ведомость.

Примечание

Формирование отчета имеет смысл только по тем счетам, в настройках которых задана возможность ведения аналитического учета.

После заполнения поля Счет автоматически будут заполнены параметры Наименование и Типовая форма аналитического учета, а также Валюта. Эти данные задаются в настройках счета (подробнее см. выше раздел «План счетов»).

В полях Отчет с по нужно указать начальную и конечную даты интервала времени, данные за который должны быть включены в отчет.

В поле Тип отчета из раскрывающегося списка выбирается вариант его формирования – детальный, сокращенный или сводный.

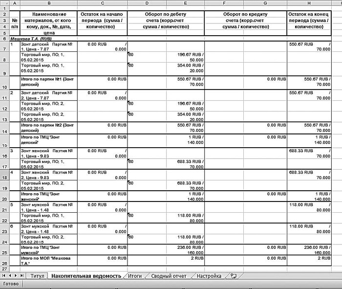
Запуск процесса формирования отчета в соответствии с заданными настройками производится с помощью кнопки ОК. Пример готовой аналитической ведомости показан на рис. 6.37 (параметры ее настройки показаны на рис. 6.36).

Рис. 6.37. Аналитическая ведомость по счету 41 «Товары»

Аналитическая ведомость также выгружается в Excel, причем обратите внимание – ее титульный лист, сама ведомость, итоговые и сводные данные сформированы на разных листах Excel, имеющих соответствующие названия. Для отправки документа на принтер используйте штатные средства Excel.

Более 800 000 книг и аудиокниг! 📚

Получи 2 месяца Литрес Подписки в подарок и наслаждайся неограниченным чтением

ПОЛУЧИТЬ ПОДАРОК