Тактика влияния на власть предержащих
После всесторонней оценки обстановки наступает время действовать. Для подхода к организационной политике и использования в своих целях властных полномочий, принадлежащих другим людям, существуют весьма простые тактические приемы. Описываемая здесь тактика является наипростейшей и наиболее распространенной; затем последуют ссылки и на другие политические методы.
Непосредственный запрос
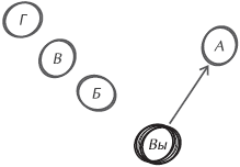
Непосредственный запрос – это самое простое из всех возможных действий: вы обращаетесь к обладателю необходимых вам властных полномочий и высказываете ему свою просьбу. В зависимости от избранного вами подхода и приема общения (вернитесь к предыдущему перечню) вы можете обставить все в форме простого разговора, послать запрос по электронной почте или высказать все на совещании, собранном по этому поводу. Чем формальнее вы подойдете к запросу, тем больше шансов на то, что в его обсуждении будут участвовать другие. Чем меньше будет формализма, тем прямее может быть как разговор, так и сам запрос. На рис. 16.5 буквой А обозначен человек, обладающий необходимой вам властью, а буквами Б, В и Г – другие люди из вашей команды.

Рис. 16.5. Непосредственный запрос
Неформальная беседа
Неформальная беседа – это общий вариант непосредственного запроса. Если вы и ваш коллега Б претендуете на одни и те же ресурсы и ведете общее обсуждение данного вопроса, вы просите А встретиться с вами обоими и решить вопрос коллективно. Команда, имеющая четко поставленные цели и хорошо организованное взаимодействие, решает подобные вопросы естественным и неформальным образом. Люди доверяют друг другу, работая над воплощением в жизнь общих проектных планов, и охотно идут на справедливые уступки, даже если при этом приходится поступаться собственной властью или полномочиями. Сильные лидеры и руководители поощряют подобное поведение, поскольку оно сокращает потребности в их вмешательстве. Команда со временем привыкает к решению проблем собственными силами (например, привыкает воспроизводить точку зрения руководителя А даже в его отсутствие) и привлекает А только в том случае, если сложность решения действительно требует участия руководителя.
Использование влияния (атака с флангов)
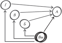
Вместо того чтобы убедить А, полагаясь лишь на собственное влияние, заручитесь поддержкой других людей из вашей организации, чтобы они озвучили те же доводы и мнения. Тщательно подберите тех, кто имеет наибольшее влияние на А. Если вы чувствуете слабость собственного влияния, возможно, нужно привлечь на помощь сразу нескольких людей.
В военной терминологии это называется атакой с фланга. Вместо удара в лоб, добейтесь преимущества, зайдя на цель со стороны. Тогда А придется считаться не только с вашими доводами, но и с аргументами, поступившими от одной или нескольких других влиятельных личностей. Когда подобные доводы поступят от людей, имеющих равное с А или более высокое положение, отклонить их будет намного сложнее. (Тем не менее будьте осмотрительны, заручаясь мнением людей, которые занимают более высокое положение, чем А, в его отсутствие. Это может быть воспринято как нарушение субординации и попытка подорвать авторитет А. Все зависит от порядков, сложившихся в организации, и от характера самого А.)
Дополнительно эти действия могут сочетаться с непосредственным запросом (как показано на рис. 16.6.). Другие возможные варианты включают способы использования требуемого вами влияния. Возможно, в присутствии Б, В и Г не возникнет необходимости или даже вообще не придется вести с А разговор по рассматриваемому вопросу. Поскольку вы пользуетесь их благоприятным мнением, можете переговорить с ними и обратиться к А со следующей фразой: «Я думаю, нам нужно исключить данную функцию. Я поговорил с Б, В и Г, и все они согласны со мной по этому вопросу». Конечно же, следует как можно точнее передать все ими сказанное и всегда стараться уладить вопрос в присутствии этих людей (намеренно возвращаясь к предыдущему разговору).

Рис. 16.6. Атака с флангов
Многоступенчатое влияние
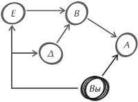
Когда вы можете вступить в контакт с нужными людьми, опуститесь на одну ступень вниз по цепочке влияния или по иерархической лестнице. Если В – единственный, к кому может прислушаться А, но вы не в состоянии добиться аудиенции В, найдите людей, имеющих наибольшее влияние на В. Затем вступите в контакт с ними и изложите суть своего вопроса. С этой позиции вы можете двинуться дальше, до тех пор, пока ваше влияние не достигнет нужной цели (рис. 16.7).

Рис. 16.7. Многоступенчатое влияние
Косвенное влияние
В некоторых случаях лучше всего оказать влияние на власть предержащих путем запуска какого-то механизма, оставаясь при этом за сценой. Возможно, А находится двумя и более ступенями выше в вашей организационно-штатной структуре, и он может негативно отреагировать на прямое обращение к нему людей вашего уровня. Или же вы просто не нравитесь А, или он в данный момент на вас за что-то обижен (и вы думаете, что он не сможет отнестись к вам объективно).
В подобной ситуации следует заручиться поддержкой другого человека, чтобы он сделал запрос за вас. В этой роли может выступить ваш непосредственный начальник, коллега по команде или работающий на А человек, которому случается оказывать влияние на А в подобных вопросах.
Наименее изощренным способом решения задачи является проведение переговоров. Поговорите с В и посмотрите, согласится ли он с вами. Если согласится, спросите, не смог бы он поговорить об этом с А (рис. 16.8). Когда он пойдет к А, он не должен вводить А в заблуждение или лгать: он должен привести доводы, исходя из собственных позиций, поскольку он и в самом деле согласился с вами и с правомерностью вашего запроса. Если затем А потребует переговоров с вами или вы сами чуть позже попросите его аудиенции, ваши доводы будут полновеснее за счет влияния, оказанного В.

Рис. 16.8. Косвенное влияние
Совещания
На совещаниях создается довольно сложная политическая ситуация. Любой присутствующий может высказаться и задать вопросы, оказывая тем самым такое политическое влияние на дискуссию, которое может осложнить ситуацию. Если предстоит принимать какие-нибудь сложные решения, то до начала совещания нужно обязательно оценить, кто на нем будет присутствовать. Перед совещанием подумайте о том, какие вопросы на нем, скорее всего, будут подняты и какие варианты ответов захочется услышать каждому из присутствующих. Хорошее знание участников позволит дать неплохую оценку ожидаемому развитию событий и самостоятельно ко всему подготовиться. Если такой возможности нет, нужно навести справки. Попросите влиятельных людей, чье присутствие ожидается, поделиться своим мнением до начала совещания. Изучите заранее их отношение к обсуждаемым проблемам и самые важные вопросы, которые могут быть заданы, а затем либо внесите изменения, если это возможно, либо выстройте линию защиты существующего у вас плана. Если вы сами готовите повестку дня, внесите в нее соответствующие изменения.
Иногда инициатива собрать совещание может быть единственным средством поднять вопрос применения властных полномочий. Электронная почта для решения сложных и острых проблем вряд ли подойдет. Поводом для совещания может стать определение, что Салли нужно одновременно услышать мнение Боба и Майка, дабы убедиться, что к вашим рекомендациям стоит прислушаться. Эффективное проведение совещаний является своего рода искусством (см. главу 10), но в данный момент нужно уяснить, что чем лучше вы подготовитесь к ответам на возможные вопросы и к предстоящим дебатам, тем легче будет вести совещание без эксцессов и в нужном для вас направлении (рис. 16.9).

Рис. 16.9. На совещании может возникнуть непредсказуемая политическая ситуация
Пускай они думают, что это их идея
Изредка бывает так, что на почве чьего-то эгоизма вы можете высадить и прорастить свое собственное зерно. Все происходит примерно так: вы полагаете, что напрямую ваш запрос вряд ли пройдет. Поэтому, как только обнаружится проблема, вы затеваете дискуссию и запрашиваете помощь в поиске решения. Собственных ответов на поставленный вопрос вы не предлагаете, а вместо этого задаете вопросы и расставляете вехи, постепенно подводящие присутствующих к нужному для вас результату. Этот прием, как и всякая подтасовка, легко может привести к неприятным последствиям, тут требуются деликатность и мастерство импровизации, которыми обладают далеко не все. И все же я допускаю, что иногда этот номер вполне может пройти, в особенности с теми начальниками, которые любят считать, что они всегда правы.
Дополнительные источники
В предыдущий перечень попали лишь основные тактические приемы. Книгами по политической тактике забито множество книжных полок. Лучшим унифицированным средством на эту тему я считаю книгу Роберта Грина (Robert Greene) «The 48 Laws of Power» (Penguin 2001), но должен предостеречь: после прочтения книг Дейла Карнеги вроде «How to Win Friends and Influence People» (Pocket, 1990) вы почувствуете позывы применить все усвоенное на практике. Книга Роберта Сайолдини (Robert Cialdini) «Influence» (Perrenial, 1998) больше относится к маркетингу, чем к офисной политике, но некоторые изложенные в ней физиологические принципы могут быть применены и в этой сфере.
Более 800 000 книг и аудиокниг! 📚
Получи 2 месяца Литрес Подписки в подарок и наслаждайся неограниченным чтением
ПОЛУЧИТЬ ПОДАРОК