Наживулька или гибкость?
Приходишь в отечественную компанию, смотришь, как у нее устроено IT, и видишь, что люди просто упали с дуба.
М. Донской, из интервью
Не все гигагерцы и гигабайты расходуются впустую. Кризис в софтостроении, о котором говорят уже более 30 лет, продолжается. В ответ на усложняющиеся требования к программным системам и неадекватные им методологии (технологии), особенно в части моделирования и проектирования, индустрия выставила свое решение. Оно состоит в достижении максимальной гибкости средств программирования и минимизации ошибок кодирования. Проще говоря, если мы не можем или не успеваем (что в итоге приводит к одному и тому же результату) достаточно хорошо спроектировать систему, значит, надо дать возможность быстро и с минимальными затратами её изменять на этапе кодирования. Но принцип для заказчика остался прежним: «Быстро, качественно, дёшево – выбери два критерия из трёх».
Поднимать тему так называемой гибкой (agile) разработки программ достаточно рискованно. С одной стороны, вокруг сюжета много шума, эмоций и мало объективной фактической информации. С другой – большинство встречавшихся мне собеседников опирались больше на веру, чем на рациональные аргументы, что делало дискуссию бессмысленной. Но мы тем не менее попробуем.
Причина возникновения экстремальных методик, сосредоточенных на фазе кодирования, не случайна. Американский специалист по методологиям софтостроения Кэпер Джонс в своей книге[23] приводит весьма удручающие статистические данные, например:
• среди проектов с объёмом кода от 1 до 10 миллиона строк только 13 % завершаются в срок, а около 60 % свёртываются без результата;
• в проектах от 100 тысяч до 1 миллиона строк эти показатели выглядят лучше (примерно 25 % и 45 %), но признать их удовлетворительными никак нельзя;
• в проектах примерно от 100 тысяч строк на кодирование уходит около 20 % всего времени, и эта доля снижается с ростом сложности, тогда как обнаружение и исправление ошибок требует от 35 % времени с тенденцией к увеличению.
В любом софтостроительном процессе, будь то заказной проект или продукт для рынка, всегда можно выделить 4 основные стадии:
• анализ, чтобы понять «что делать»;
• проектирование, чтобы определить и запланировать «как делать»;
• разработка, чтобы собственно сделать;
• стабилизация, чтобы зафиксировать результат предыдущих этапов.
Если стадии, органично совпадающие с концептуальным, логическим и физическим дизайном системы, расположить иерархически без обратных связей, то получим классическую схему «водопад», исторически считающуюся первой методологией в софтостроении.

Рис. 13. Методология «водопад» в идеальном случае
«Водопад» также соответствует разработке «сверху-вниз» в структурном программировании: выделяем самые общие функции системы, проводим их декомпозицию на подфункции, а те, в свою очередь, на подподфункции и так далее, пока не упрёмся в элементарные операции.
Что же не так в схеме? С увеличением сложности реализуемой системы анализ и следующее за ним проектирование начинают занимать всё больше времени. Постепенно обнаруживаются новые детали и подробности, изменяются требования к системе, возникают новые сопутствующие задачи, расширяющие периметр. Приходится, не отдавая проектную документацию в разработку, возвращаться к анализу. Возникает риск зацикливания процесса без конечного выхода какого-либо программного обеспечения вообще.

Рис. 14. На практике «водопад» зацикливается с увеличением сложности проекта
Из сказанного вовсе не следует, что методология плоха. Просто она имеет свои границы применения, широта которых напрямую зависит не только от опыта аналитиков и проектировщиков, но и от новизны моделируемой предметной области. В достаточно консервативных банковских или промышленных приложениях «водопад» может подойти и для комплексной системы. Если же, например, возникает принципиально новый рынок, то найти опытных подрядчиков проблематично, а бизнес-направление заказчика находится в постоянной реорганизации, поэтому стадия анализа, занимающая больше 3–4 недель, рискует быть малопродуктивной. И не только стадия анализа, но и весь проект в целом. Тут впору подумать над временной автоматизацией в рамках офисного пакета и скриптовых сред вместо комплексного решения.
Очень важно отделить редкую ситуацию «бизнес меняется еженедельно» от гораздо более распространённой «представления команды разработчиков о бизнесе меняются еженедельно». Если вам говорят о якобы часто изменяющихся требованиях, всегда уточняйте, о чём, собственно, идёт речь.
Но если проблема зацикливания на требованиях может быть успешно решена выбором подрядчиков, уже имевших опыт в построении систем данного типа, то другая, гораздо более значимая проблема несовпадения взглядов заказчика и подрядчика на казалось бы одни и те же вещи стабильно проявляется с ростом проекта. Даже если принять во внимание, что только 20 % требований специфичны для заказчика, тогда как 80 % исходят непосредственно от предметной области инвариантно среде и контексту, то эти 20 % способны угробить весь проект.
Для снижения рисков такого рода в конце 1980-х годов была предложена спиральная модель софтостроения.
Необходимо отличать спиральную модель от итеративной. Спиральная модель сходится в точку «система готова», итеративная модель в общем случае не сходится, но обеспечивает реализацию всё новых и новых требований.

Рис. 15. Спиральная модель с двумя витками
Ключевой особенностью спиральной технологии является прототипирование. В конце каждого витка после этапа стабилизации заказчик получает в своё распоряжение ограниченно работающий прототип целой системы, а не отдельных функций. Основная цель прототипа состоит в максимально возможном сближении взглядов заказчика и подрядчика на систему в целом и выявлении противоречивых требований.
Спиральная модель не навязывает присутствие всех стадий на каждом витке. Вполне может статься, что первый же прототип будет удачным, а функциональная и техническая архитектуры соответствуют требованиям. Тогда финальные витки будут фактически состоять только из разработки и стабилизации.
Слабым звеном в спиральной методологии является определение длительности очередного витка, его стадий и соответствующее выработанному плану управление ресурсами. Пока анализ не выдал концептуальные модели, проектировщики и ведущие программисты ограничены техническими требованиями, тогда как рядовые программисты просто ожидают спецификации. Но неудачно сократив фазу анализа или проектирования на первом витке, тем самым можно увеличить их общее количество, рискуя выйти за рамки первоначальной оценки сроков и бюджета.
Тотальный анализ и проектирование вырождают спираль в водопад, тогда как формальный подход, «для галочки», выдающий бесполезные для программистов спецификации, превращает спираль в бесконечный цикл, прерываемый управленческим решением. Поиск компромисса в такой ситуации – трудная задача многокритериального выбора, в большой степени зависящая от опыта и здравого смысла руководителей рабочих групп и проекта в целом.
Таким образом, из научной плоскости мы переходим в область экспертных оценок. Поэтому слово «методология» справедливо вызывает у многих негативное отношение. Правильнее было бы говорить о технологии ведения со-фтостроительных проектов, но исторически появившийся термин так просто из обращения не выкинуть. Да и надо ли?
Создатели итерационных методологий, также называющихся гибкими (agile) или экстремальными, выкинули не термин, а фазы анализа и проектирования.
Ключевой особенностью гибкой методики является наличие мифологического титана – владельца продукта (product owner), который лучше всех знает, что должно получиться в итоге. На самом деле это просто иная формулировка старого правила «кто платит, тот и заказывает музыку». Именно владелец, за рамками собственно гибкого процесса, гением своего разума проводит анализ и функциональное проектирование, подавая команде на вход уже готовые пачки требований. Размер пачки должен укладываться в интеллектуальные и технологические возможности разработчиков, которым предстоит осуществить её реализацию за одну итерацию.
В итоге мы получаем знакомую софтостроительную схему «снизу-вверх», появившуюся на свет гораздо раньше «водопада», с его упорядочивающей моделью «сверху-вниз». То есть мы не знаем точно, что хотим получить в целом, но знаем отдельные функции, реализовав которые, мы, возможно, придём к решению.

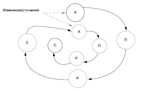
Рис. 16. «Гибкая» методология соответствует классической схеме «снизу-вверх»
С точки зрения проектирования такой подход даже хуже обсуждавшихся прецедентов в UML. Прецеденты использования, «кейсы», хоть как-то формализуются, накапливаются и обобщаются на стадии, формально отсутствующей в гибкой разработке. Поэтому новое требование-прецедент, поступившее на вход, «обобщается» с прежними уже на стадии разработки, приводя к необходимости серьёзной реструктуризации (рефакторинга) кода программ и подпорок из тестов.
Не буду заниматься критикой, её можно без труда найти даже в энциклопедических статьях. Поговорим лучше о некоторых позитивных моментах, которые вносит гибкая методология.
Для программистов позитив, к сожалению, изрядно разбавлен издержками производственного процесса. Методология, по сути, направлена на увеличение времени работы с клавиатурой и не располагает к размышлениям. Пиши код! Поэтому для стимуляции персонала процесс окружен религиозной атрибутикой, манипуляциями, иносказаниями и метафорами. С другой стороны, требования к уровню программиста ограничиваются знанием конкретных технологий кодирования, стандартных фреймворков, «умением разбираться в чужом коде» и «умением работать в команде», уже упоминавшимся в словаре для начинающего соискателя. Способность решать олимпиадные задачки здесь от вас не требуется. Скорее, наоборот, будет помехой.
Позитив для заказчика в том, что, осознавая свою несхожесть с мифологическим титаном мысли, он может достаточно быстро увидеть сформулированные требования и сценарии в реализации, отлитыми, разумеется, не в бетоне, а в гипсе, и на практике понять их противоречивость и неполноту. После чего он может переформулировать существующие и добавлять новые требования с учётом уже набитых шишек. Тем не менее с ростом сложности системы возрастает и риск увеличения стоимости внесения изменений. И если проект выходит за рамки бюджета, то «козлом отпущения» становится именно владелец продукта.
Другой позитив для компании-заказчика состоит в непосредственной близости выполняемой подрядчиком работы. Зачастую «гибкие» команды работают на площадке компании и доступны в любой рабочий момент. Если заинтересованному лицу не хватает информации, он может просто подойти и посмотреть на месте, поговорить с исполнителем и тем самым восстановить расстроившееся было душевное равновесие.
Ничего не напоминает? Всего 15–20 лет назад эти же подрядчики сидели на тех же площадках, но назывались «отделами АСУ» и входили в штат фирмы. Да, теперь сторонние программисты обходятся вдвое-втрое дороже прежних сотрудников, зато в любой момент можно устроить имитацию конкурсного отбора исполнителя, а при необходимости быстро свернуть непрофильную деятельность, не испытывая законодательных и профсоюзных затруднений с сокращением персонала.
Позитив для подрядчика состоит в том, что «гибкая» разработка позволяет вовлечь в проект как можно больше разработчиков с менее высокими требованиями к квалификации. Это позволяет содержать больше сотрудников в штате, включая оффшорные команды. Будучи поставленным перед выбором между небольшой программистской фирмой с квалифицированным персоналом и софтверхаузом-«тысячником», крупный заказчик в общем случае склонится ко второму варианту.
Как вы заметили, я начал с «водопада» и завершил «гибкой разработкой». Хотя адепты обоих подходов испытывают друг к другу сложные чувства, не бросилось ли вам в глаза их разительное сходство? Обе методологии зацикливаются с увеличением сложности проекта. Только «водопад» замыкается на тотальном анализе и проектировании, а гибкая методика «уходит в себя» на разработке и стабилизации, что, в общем, даже не скрывается, а рисуется на слайдах презентаций. Из этого следует вывод, что успешно выполненный в «водопадной» схеме проект может быть также в большинстве случаев выполнен в «гибкой» разработке. И наоборот, если не касаться вопроса людских ресурсов. Дело в масштабе.
Труднее формально определить пороговую сложность системы, за которой начинаются проблемы. Я обозначил бы её как систему, которую даже один опытный аналитик способен охватить формальными моделями за относительно короткий срок, исчисляемый несколькими неделями. Например, заказной, то есть нетиражный, пакет для расчёта зарплаты, подсистема формирования и массовой рассылки счетов клиентам или система складского учёта в компаниях среднего и крупного масштаба.
Как происходит зацикливание даже в простых случаях? Программисты классифицируют коров и столы по признаку наличия четырёх ножек, после чего всю энергию тратят на то, чтобы написать интерсепторы, аспекты, применяют мощные инструменты рефакторинга кода для того, чтобы ad hoc[119] разрешить некоторые возникающие противоречия в созданной модели.
Конечно, это просто шутка, в которой немало правды. В реальности же наиболее распространённым явлением становится частичное дублирование структур и функциональности отдельных подсистем, реализуемых разными командами и владельцами. Поскольку общего взгляда на систему нет.
Борьба с зацикливанием с обеих сторон нередко принимает причудливые формы.
Совсем недавно мне выдалось консультировать по сугубо техническим вопросам одну скрам[120]-команду. Проект был заказан крупным автопроизводителем и касался разработки бортовой системы мониторинга и управления периферийным оборудованием. Функциональные спецификации составили вместе толстую пачку листов формата А4, напечатанных с двух сторон, думаю, в общей сложности не менее 2 тысяч страниц. Понятно, что никто из программистов в здравом уме не стал читать документацию целиком, а взяли несколько функций, под которые и начали строить реализацию. После четырёх месяцев работы выяснилось, что архитектура эволюционным путём не выстраивается, хотя заказчик регулярно видел разные красивые экраны с заглушками и симуляцией приходящих от устройств прерываний. Разумеется, и я не стал читать все эти тысячи страниц, ограничившись весьма интересным документом, содержащим иерархию функций, то есть фактически глоссарий функциональной декомпозиции системы. Из документа следовало, что архитектура, состоящая из набора служб, доступных на общей шине (здравствуй, CORBA), охватывала несколько верхних уровней иерархии. Однако такая перестановка означала переделку большей части системы, тогда как регламент не разрешал увеличить время очередной итерации до минимально необходимых 2–3 месяцев, а бюджет и ресурсы не позволяли начать параллельную стройку. В итоге команда осталась в прежней архитектуре, осознавая на собственной шкуре, что затраты на добавление новых функций растут.
Совсем свежий пример: настоящее время, крупная корпорация – строится внутренняя система управления предприятием. Официально написаны 3,5 тысячи страниц функциональных спецификаций, полтора десятка программистов в том же «скраме» уже приступили к реализации отдельных частей. Через год-полтора будет ясно, получилось ли что-нибудь в итоге.
Эти два примера вполне соответствуют тенденциям взаимного перекладывания ответственности на сложных проектах. Заказчик осознаёт, что реализовать спецификации своими силами невозможно, прежде всего потому, что при таком объёме они тем не менее неполные и неизбежно содержат противоречия. Подрядчику же в принципе наплевать на спецификации, он будет крутить итерации, честно реализуя заявленный функционал и отрабатывая бюджет. Получился коровник на подпорках с покосившимися заборами и дырявой крышей вместо современного агрокомплекса? Извините, всё по спецификации, каждые две-три недели вы видели расцвеченные фотографии разных участков возводимого сооружения.
Синтез «водопада» сложной системы, итоги проектирования которого подаются на вход «гибкой» производственной машины кодирования и стабилизации – что может быть бессмысленнее и беспощаднее?
Кроме частных примеров относительно крупных заказов, современная тенденция – огромное число некритичных проектов, программ и систем-пристроек к основной КИС. Масштаб проектов небольшой (сотни тысяч строк кода), заказчик точно не знает, что хочет получить в итоге, а подрядчик не имеет опыта в данной предметной области, если вообще имеет хоть в какой-то, и поэтому не может ему объяснить, что кактусы за полярным кругом не растут. Для такой ситуации привлечение команд с имеющими требуемый опыт квалифицированными специалистами и технологиями предметно-ориентированных языков или разработки по моделям маловероятна, поэтому пусть уж лучше итеративная методология «наживульки», чем никакая, как оно зачастую бывало в эпоху штатных отделов АСУ.
Более 800 000 книг и аудиокниг! 📚
Получи 2 месяца Литрес Подписки в подарок и наслаждайся неограниченным чтением
ПОЛУЧИТЬ ПОДАРОК