Выживание самых приспособленных программ

Первые несколько десятилетий сообщество, занимавшееся генетическими алгоритмами, состояло в основном из самого Джона Холланда, его студентов и студентов его студентов. Примерно в 1983 году самой большой проблемой, которую умели решать генетические алгоритмы, было обучение управлению системами газопроводов. Но затем, примерно в период второго пришествия нейронных сетей, интерес к эволюционным вычислениям начал набирать обороты. Первая международная конференция по генетическим алгоритмам состоялась в 1985 году в Питтсбурге, а потом произошел кембрийский взрыв разновидностей генетических алгоритмов. Некоторые из них пробовали моделировать эволюцию более точно: в конце концов, базовый генетический алгоритм был только грубым ее приближением. Другие шли в самых разных направлениях, скрещивая эволюционные идеи с концепциями из области информатики, которые смутили бы Дарвина.

Одним из самых выдающихся студентов Холланда был Джон Коза[78]. В 1987 году он возвращался на самолете в Калифорнию с конференции в Италии, и его озарило: почему бы не получать путем эволюции полноценные компьютерные программы, а не сравнительно простые вещи вроде правил «Если…, то…» и контроллеров газопроводов? А если поставить себе такую цель, зачем держаться за битовые строки как их представление? Программа на самом деле — дерево обращений к подпрограммам, поэтому лучше непосредственно скрещивать эти поддеревья, а не втискивать их в битовые строки и рисковать разрушить отличные подпрограммы, перекрещивая их в произвольной точке.

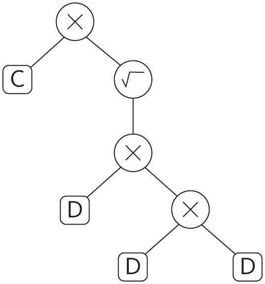
Например, представьте, что вы хотите вывести программу, вычисляющую длину года на некой планете (T) на основе ее расстояния от солнца (D). По третьему закону Кеплера, T — это квадратный корень из D в кубе, умноженный на постоянную C, которая зависит от используемых единиц времени и расстояния. Генетический алгоритм должен уметь работать на основе данных Тихо Браге о планетарных движениях, как когда-то сам Кеплер работал. В подходе Коза D и C — это листья программного дерева, а операции, которые их соединяют, например умножение и извлечение квадратного корня, — это внутренние узлы. Вот программное дерево, которое правильно вычисляет T:

В генетическом программировании, как Коза назвал свой метод, мы скрещиваем два программных дерева, произвольно меняя местами два их поддерева. Например, одним из результатов кроссинговера деревьев на рисунке ниже, проведенного в выделенных узлах, будет правильная программа для вычисления T:

Мы можем измерить приспособленность программы (или ее неприспособленность) по расстоянию между ее фактическим выходом и правильным выходом на обучающих данных. Например, если программа говорит, что на Земле в году 300 дней, это вычтет из ее приспособленности 65 пунктов. Генетическое программирование начинает с популяции случайных программных деревьев, а потом использует кроссинговер, мутации и выживание для постепенного выведения лучших программ, пока не будет удовлетворено результатом.

Конечно, расчет продолжительности планетарного года — очень простая задача: в ней есть только умножение и квадратный корень. В целом программные деревья могут включать полный спектр элементов программирования, например утверждения «если… то…», циклы и рекурсию. Более показательный пример возможностей генетического программирования — это определение последовательности действий робота для достижения определенной цели. Представьте, что я попросил своего офисного робота принести мне степлер из кладовки. У робота для этого есть большой набор возможных действий: пройти по коридору, открыть дверь, взять предмет и так далее. Каждое из них, в свою очередь, может состоять из различных поддействий: например, протянуть манипулятор к предмету, схватить его в самых разных точках. В зависимости от результатов предыдущих действий новые действия могут выполняться или не выполняться, иногда нужно их повторить некоторое количество раз и так далее. Задача состоит в том, чтобы составить правильную структуру действий и поддействий, а также определить параметры каждого из них, например, как далеко выдвинуть манипулятор. Из «атомарных», мельчайших действий робота и их допустимых комбинаций генетическое программирование может собрать сложное поведение для достижения желаемой цели. Многие ученые таким образом выводили стратегии для роботов-футболистов.

Одно из последствий применения кроссинговера к программным деревьям вместо битовых строк заключается в том, что получающиеся в результате программы могут быть любого размера и обучение делается более гибким. Однако такие программы имеют тенденцию к разбуханию: по мере эволюции деревья становятся все больше и больше (это еще называют «выживанием толстейших»). Эволюционисты могут утешиться фактом, что программы, написанные человеком, в этом отношении не лучше — Microsoft Windows содержит 45 миллионов строк кода, — к тому же к созданному человеком коду нельзя применить такие простые решения, как прибавление к функции приспособленности штрафа за сложность.

Первым успехом генетического программирования стала в 1995 году разработка электронных схем. Начав с кучи элементов — транзисторов, резисторов и конденсаторов, — система Коза вновь изобрела запатентованный ранее фильтр нижних частот, который можно использовать, например, для усиления басов в танцевальной музыке. С тех пор Коза превратил повторное изобретение запатентованных устройств в своего рода спорт и начал выдавать их дюжинами. Следующей вехой стал патент на разработанную таким образом промышленную систему оптимизации, выданный в 2005 году Ведомством США по патентам и торговым знакам. Если бы тест Тьюринга[79] заключался в обмане патентного эксперта, а не собеседника, 25 января 2005 года вошло бы в учебники истории.

Своей самоуверенностью Коза выделяется даже среди представителей дисциплины, где скромность не в чести. Он видит в генетическом программировании машину для изобретений, Кремниевого Эдисона XXI столетия. Коза и другие эволюционисты верят, что такой алгоритм может получить любую программу, и ставят на него в гонке за Верховным алгоритмом. В 2004 году они учредили ежегодную премию Humies, которую вручают за «соперничающие с человеком» генетические творения. На сегодняшний день присуждено 39 премий. 

Более 800 000 книг и аудиокниг! 📚

Получи 2 месяца Литрес Подписки в подарок и наслаждайся неограниченным чтением

ПОЛУЧИТЬ ПОДАРОК