Характеристики антенн
Коэффициент калибровки и действующая высота антенны.
Рассмотрим заземленный или несимметричный вибратор под которым понимают такой, который подключается к одному зажиму источника э. д. с., а другой зажим источника заземляется (рис.15). Заземленный вибратор в совокупности со своим зеркальным изображением образует симметричный вибратор.

Поэтому диаграмма направленности заземленного вибратора представляет собой верхнюю половину диаграммы направленности соответствующего симметричного вибратора. Отсюда следует также, что максимум излучения вертикального заземленного вибратора при идеальной проводимости Земли находится на ее поверхности.
Для определения сопротивления излучения заземленного вибратора обратимся к рис. 15, на котором начало координат совпадает с вершиной вибратора, ось z направлена по оси вибратора,
1т z – амплитуда тока на расстоянии zот вершину вибратора.
1т п – амплитуда тока в пучности, 1т0 – амплитуда тока в основании; антенны,
h – геометрическая высота вибратора, hд – его действующая высота.
Будем считать эквивалентными вибраторы, которые создают поле одинаковой напряженности в направлении максимального излучения антенны. В этом направлении отсутствует разность хода волн от симметричных элементов вибратора, вследствие чего результирующее поле равно алгебраической сумме полей всех элементарных участков вибратора, каждый из которых эквивалентен элементарному вибратору.
Амплитуда напряженности поля элементарного вибратора пропорциональна моменту тока, измеряемого в микроамперах. Следовательно, вибраторы являются эквивалентными, если равны их моменты токов.
В заземленном вибраторе, где ток распределяется неравномерно по высоте, момент тока равен интегралу
?oh1т zdz
Если в качестве эквивалентного вибратора выбрать такой, в котором па всей высоте ток одинаков и равен току у основания заземленного вибратора 1т0, то к последнему можно применить формулы, выведенные для элементарного вибратора. Высота эквивалентного вибратора называется действующей высотой истинного вибратора. Очевидно, что действующая высота вибратора hд меньше его геометрической высоты h.
Из условия равенства моментов тока действительной и эквивалентной антенн

Учитывая известные тригонометрические формулы (14.1 – 14.2) найдем (14.3).

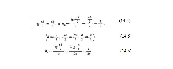
Формула для hд устанавливает связь между геометрической и действующей высотой вертикального заземленного вибратора. Если h <<?, то (14.4). Действующая высота четвертьволнового вибратора (14.5 – 14.6).

Так как в данном случае ?/2? =2h/?, то можно сказать, что увеличение геометрической высоты заземленного вибратора от весьма малой величины до ?/4 сопровождается увеличением его действующей высоты от 0,5 до 2/?=0,64 его геометрической высоты.
Заземленный вертикальный вибратор высотой h в совокупности со своим зеркальным изображением образует симметричныйвибратор длиной l = 2h, а поэтому действующая высота симметричного вибратора в 2 раза больше действующей высоты соответствующего заземленного.
Следовательно, длина симметричного вибратора hд= l/2 при 1 <<?., а действующаявысота полуволнового вибратора hд= ?/?.
Более 800 000 книг и аудиокниг! 📚
Получи 2 месяца Литрес Подписки в подарок и наслаждайся неограниченным чтением
ПОЛУЧИТЬ ПОДАРОКДанный текст является ознакомительным фрагментом.