Математическая модель гравитационного поля
Математическую модель гравитационного поля представим дифференциальным уравнением гравитационного поля в ньютоновской механике [2].Такое уравнение получаются переходом от закона всемирного тяготения Ньютона, где сила взаимного притяжения двух тел, которые могут быть приняты за материальные точки, прямо пропорциональна произведению их масс и обратно пропорциональна квадрату расстояния между ними, к дифференциальным уравнениям в теории ньютоновского потенциала.
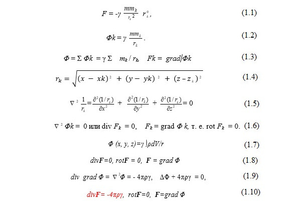
Итак, имеются две материальные точки с массами m и m они притягиваются друг к другу по закону Ньютона и на точку m со стороны точки m действует сила (1.1), где rk – расстояние между точками т и mk, ? – гравитационная постоянная, r – единичный вектор направления от m к m.
Потенциальный характер сил тяготения т. е. Fk = grad ?k, позволяет ввести скалярную характеристику гравитационного поля – потенциал, который для двух материальных точек (1.2).
Если и пространстве имеется n материальных точек с массами m (k = 1, 2,.. п) и рассматривается их влияние на одну материальную точку массы m = 1, которая может быть помещена в разные точки пространства (пробная масса), то со стороны всех точек mk на пробную массу m = 1 будет действовать сила F = ?Fk и ее потенциал (1.3).
Распределение масс mk создает в пространстве гравитационное поле с потенциалом ?, которое можно обнаружить с помощью пробной массы, помещенной в рассматриваемую точку пространства. Напишем дифференциальное уравнение, которому должен удовлетворять потенциал сил тяготения ?. [2] Рассмотрим функцию 1 /, где (1.4) – расстояние между точкой х, у, z, в которой помещена пробная масса, и точкой xk, yk, zк, в которой находится k-тая масса, создающая гравитационное поле, является гармонической функцией. Во всех точках х, у, z, для которых rk, функция 1/rk удовлетворяет уравнению Лапласа (1.5).
Следовательно, потенциал ?k гравитационного поля одной материальной точки удовлетворяет уравнению (1.6).

Уравнение Лапласа является линейным уравнением. Потенциал гравитационного поля ? (х, у, z), создаваемого непрерывным распределением масс по некоторому объему V, на основании (1.3) можно написать в виде (1.7), где ?dV=dm, ?– плотность распределения массы элемента объема dV, dm-прирост массы.
Эта функция ? (х, у, r) удовлетворяет уравнению Лапласа ? (х, у, r) = 0 в точках, где нет масс.
Уравнение Лапласа для ? равносильно уравнениям (1.8).
Можно показать при весьма общих практически приемлемых допущениях относительно распределения плотности ?, что потенциал ? гравитационного поля (1.7) для точек х, у, z, расположенных внутри V, удовлетворяет уравнению Пуассона (1.9).
Уравнение (1.9) равносильно уравнениям (1.10).
Практически приходится обычно иметь дело со слабыми гравитационными полями, для которых уравнения поля линейны. Для таких полей в первом приближении справедлив принцип суперпозиции. Волновое уравнение слабого гравитационного поля можно получить, если добавить вторую производную по времени в уравнение (1.9), превратив уравнение Пауссона в уравнение Д"Аламбера.
Более 800 000 книг и аудиокниг! 📚
Получи 2 месяца Литрес Подписки в подарок и наслаждайся неограниченным чтением
ПОЛУЧИТЬ ПОДАРОКДанный текст является ознакомительным фрагментом.