Зоны излучения ЭМП
Другой подход к определению закона изменения уровня электромагнитного поля можно рассматривать как в книги Гольдштейн, Л. Д. Зернов, Н. В. Электромагнитные поля и волны. М.: Советское радио, 1956 г.
После решения волновых уравнений получены следующие выражения для расчета уровня электромагнитного поля.
В общем виде поле, создаваемое элементарным электрическим (или магнитным) вибратором в какой-либо точке, состоит из нескольких составляющих, величины которых зависят от направления излучения, излучаемой длины волны и расстояния г от излучающего вибратора. В сферической системе координат действующие значения составляющих поля (без учета фазы) имеют вид (13.1 – 13.4).
Для электрического вибратора (13.5 – 13.6).
Для магнитного вибратора (рамки) (13.7 – 13.8).
Где ? – угол между осью диполя или осью рамки (витка), перпендикулярной к ее плоскости, и направлением на точку, где определяется поле;
E? и Е? – тангенциальные составляющие вектора напряженности электрического поля в плоскости, параллельной оси вибратора, и в, плоскости, перпендикулярной оси вибратора;
H? и H? – соответствующие составляющие вектора напряженности магнитного поля;
Еr и Нr – соответственно радиальные составляющие векторов электрического и магнитного полей;
Iа – ток антенны, равномерно распределенный по всей длине вибратора;
?, ? – соответственно магнитная и диэлектрическая проницаемости воздуха.

Все составляющие полей вибраторов (пропорциональные 1/г, 1/г2, 1/г3) требуется учитывать, когда приемная антенна находится в промежуточной зоне, ограниченной пределами r = ?/2? и r = 10?.
В ближней зоне, т. е. на расстоянии r <<?, преобладают составляющие, пропорциональные 1/r3 для E?, Er, Н? и Нr и пропорциональные 1 /r2 для E?, Н?.
Вариант интерпретации напряженности поля в ближней и промежуточной зоне.
Из представленного выше выражения для E? (13.7).
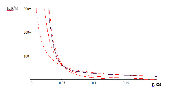
Наибольший интерес представляет поле в ближней и промежуточной зоне. Закон изменения уровней напряженности электромагнитного поля, измеренного на единичном расстоянии E0, в зависимости от расстояния, имеет вид (13.8).

Построим и проанализируем график изменения каждой составляющей поля, а также суммарную напряженность. Он представлен на рисунке.
Пунктирными линиями показаны все составляющие поля (1/r3,1/r2, 1/r), а сплошной линией соответствует суммарная напряженность.

Рис. 12. – Изменение напряженности поля в ближней, промежуточной и дальней зоне
В дальней зоне влияние составляющих 1/r3,1/r2, сводится к минимуму и приближенно можно считать изменение поля по закону 1/r.
В практических измерениях определяется принадлежность точки измерения к зоне излучения.
Об измерении электромагнитных полей.
Для оценки защищенности ПЭМИ технических средств (ТС) в диапазоне 0,01- 1000Мгц приемник ЭМП (антенну) размещают на расстояниях один метр, что соответствует ближней и промежуточной зоны излучения от исследуемых средств. Как известно граница зон определяются условиями Rбз = ?/2? и Rпз = 6?.
Определим принадлежность расчетного расстояния rрас. к одному из следующих интервалов (13.9).
Корректность использования антенн для проведения измерений определяется характером поля в ближней и промежуточной зонах, типом и характеристиками антенн. Ка, hд
Заключение о соответствия ПЭМИ ТС нормам проводится по соотношению с/ш (Ес/Eш) на границе контролируемой зоны.
О распределении поля.
Будем рассматривать поле, создаваемое элементарным электрическим (или магнитным) излучателем в какой-либо точке. Наиболее типичное излучение имеют электрические излучатели. Для этого случая в сферической системе координат действующие значения составляющих поля, указанные выше.
Распределение поля вблизи излучателя характеризуется отношением напряженностей электрической и магнитной составляющей, которые можно получить из выражений для E? и H?.
Для электрического излучателя в ближней и промежуточной зоне имеем: E/H=W0 (?/2?r), в дальней зоне: E/H=W0. Для магнитного излучателя, используя литературные данные, имеем значения E и H,: E/H=W0 (2?r/?).
Здесь (13.10) – волновое сопротивление в свободном пространстве.

Из приведенных отношений видно, что в ближней зоне однозначной связи между электрической и магнитной составляющей нет. Поэтому для измерения электрической составляющей поля в ближней и промежуточной зоне нельзя использовать магнитные антенны, с целью пересчета значений H в E.
Об измерении полей в ближней зоне (зоне индукции).
Напряженность электромагнитного поля в БЗ и ПЗ значительно превосходят поля в волновой зоне; кроме того, они обладают значительной неоднородностью, усиливающейся наличием вблизи исследуемых ТС проводящими предметами, случайными антеннами и линиями коммуникаций. В силу этого в зоне индукции (в отличие от волновой зоны) нет определенной связи между компонентами электромагнитного поля, и поэтому невозможно по результатам измерения одной из них вычислить значение второй. Из-за неоднородности поля в зоне индукции размеры измерительной антенны должны быть настолько малы, чтобы в области, занимаемой ею, поле можно было считать достаточно приближенным к однородному.
Для уменьшения погрешности вносимый в поле измерительный прибор по возможности удаляют от измерительной антенны, основные элементы цепей измерителя (селективного вольтметра) помещают во внутренний экран, изолированный от корпуса прибора, входные цепи вольтметра размещают в непосредственной близости от измерительной антенны, вход измерителя напряженности поля строго симметрируют по отношению к земле. Нарушение последнего требования может вызвать нежелательную разность потенциалов, наводимую большими полями, на входных клеммах прибора и так далее.
В качестве антенны для измерения электрического поля применяется диполь, для измерения магнитного поля – рамка. С точки зрения конструкции и удобства обращения с измерителем напряженности поля исследуем пассивную антенну, подключенную к входу селективного вольтметра или анализатора.
В теории приема и измерения характеристик электромагнитного поля часто используют эквивалентную схему, представленную на рис. 1, на которой Z А – полное входное сопротивление антенны; Zпр – полное входное сопротивление приемника; е – электродвижущая сила на выходе антенны
е = Е hд, где Е- напряженность электромагнитного поля, hд – действующая высота.

Рис.13 – Эквивалентная схема измерения характеристик ЭМП.
При согласованной нагрузки (оптимальный режим) Z А = Z ПР
Мощность и напряжение на входе приемника P, U.
На рис. 14 представлена эквивалентная схема входной цепей измерителей напряженности поля с диполем. Схема простая, так как отсутствуют усилители, какие либо согласующие устройства, кабели.

Рис.14 – Эквивалентная схема измерителя напряженности поля индукции диполем
Для схемы (рис. 13) напряжение на входном сопротивлении вольтметра (13.11),
где е= EhД – эффективное значение ЭДС, наведенной полем в диполе, В;
Сд – собственная емкость диполя, Ф; RBX – активная составляющая входного сопротивления вольтметра, Ом; Свх – входная емкость вольтметра, Ф.
Из выражения для Uвх видно, что показания измерителя будут зависеть от частоты. Эта зависимость практически исключается, если величина ?2 (Сд+Свх) 2R2вх выбрана достаточно большой (что реализуется в активных антеннах). Для пассивного вибратора при низком входном сопротивлении измерителя (RBX =50 ом), малом значении Сд = 5 пф Uвх будет <<е. Это означает, что измерения нельзя проводить (практически трудно измерить).
Проведенные натурные измерения для различных приемников и антенн дают другую картину.
Уровни измерений Е имеют отклонения от показаний, полученных с использованием калиброванных активных и пассивных антенн, соизмеримые с погрешностью метода измерения ближнего поля.
Коэффициент калибровки стандартных антенн приведенных в паспортах на антенны для дальнего поля и согласованных с регламентированной нагрузкой.
Отклонения результатов измерений лежат в пределах нескольких дБ на различных частотах. Это говорит о коэффициенте согласования Kc диполя с входом селективного вольтметра. Эта связь выражается так.
Е =e /hд = Ка Uвх Kc
Коэффициент согласования для схем измерения имеет важное значение при проведении измерений, влияет на точность метода измерения в ближней и промежуточной зонах.
Действующая высота антенны hД
Связь между геометрической и действующей высотой вертикального вибратора при la <<?: hд=lа /2. Действующая высота четвертьволнового вибратора hд = ?/2?. Эти значения получены путем интегрирования косинусоидальной функции распределения тока штыревой антенны по ее физической высоте.
О коэффициенте калибровки.
Измерение Eс+п и Еп для оценки защищенности ПЭМИ проводится вблизи технического средства при размещении антенны или измерителя в следующих случаях.
а. рядом с ТС на фоне естественных помех
б. рядом с ТС при использование генераторов помех.
в. на границ КЗ на фоне естественных помех
г. на границе КЗ при использование генераторов помех.
д. для получения абсолютных значений напряженностей при использовании в расчетах нормируемых помех.
е. для определения реального коэффициента затухания Кр. з.
Для вариантов б,г,е измерения требуются для получения отношения сигнал шум q и определения реального коэффициента затухания Кр. з.
q= EсСП / EпСП = (Ка Uвхсп Кс) / (Ка Uп сп. Кс) = Uвх сп /Uп сп.
Кр. з.=Ес1/Ec кз = (Ка Uвх. с1 Кс) / (Ка Uс кз. Кс) = Uвх. с1 /Uс кз.
Как видно из полученного выражения результаты оценки q не зависят от коэффициента согласования и калибровки при линейности входного измерительного тракта в динамическом диапазоне сигнала.
Для вариантов а,в,д проводится измерения абсолютных величин, их усреднение оценки параметров измерения.
Более 800 000 книг и аудиокниг! 📚
Получи 2 месяца Литрес Подписки в подарок и наслаждайся неограниченным чтением
ПОЛУЧИТЬ ПОДАРОКДанный текст является ознакомительным фрагментом.