Излучения ЭМП
1. Элементарная антенна
Простейшим примером вычислении излучаемой мощности и расчёта поля вокруг антенны по известному распределению тока на поверхности антенны является вычисление в случае линейного элемента, выбранного настолько коротким, чтобы ток можно было считать неизменным по всей его длине. Позднее некоторые более сложные антенны мы будем рассматривать как бы состоящими из большого числа таких элементарных антенн, с соответствующими величинами и фазами токов в них. Мы будем рассматривать только случаи, когда ток изменяется синусоидально во времени. Соответственно, он может быть, выражен как J0 ej?t или, ещё лучше, через его амплитудное значение J0 с только подразумевающимся множителем ej?t.
В качестве направления тока выбираем направление оси z. Элемент поместим в начале сферической системы координат (см. рис. 1).
Длину элемента h будем считать очень малой по сравнению с длиной волны.
Согласно третьему уравнению Максвелла, которое является дифференциальной формулировкой теоремы Гаусса для электрических полей. Физический смысл уравнения состоит в том, что источниками электрического поля (векторов Е и D) являются заряды с плотностью ?. Дифференциальные уравнения показывает, что расходимость электрической индукции равна объемной плотности заряда (12.1).
Для случая переменных токов, когда установилось стационарное состояние системы и все величины изменяются пропорционально ej?t то есть, значение тока задано, определение полей может быть произведено с помощью запаздывающих потенциалов, рассмотренных в Л1. Было найдено подходящее для этих целей выражение для вектор-потенциала A. Так как вектор тока направлен по оси z, то и вектор-потенциал может быть только в этом направлении. Для любой точки Q, радиус-вектор которой равен r, вектор А, согласно Л1, выразится простой формулой (12.2), или, в сферической системе координат (12.3 – 12.4) (рис.11).


Рис. 11 – Малый элемент тока в начале сферической системы координат
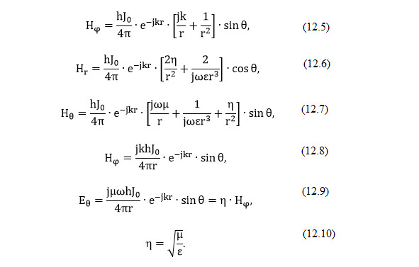
Вектор A не имеет составляющей по углу ? и, кроме того, у него нет вариаций по ? вследствие симметрии системы относительно оси. Компоненты электрического и магнитного полей можно найти с помощью вектора А, пользуясь соотношениями, приведёнными в Л1 получаем (12.5 – 12.7), где k=?/? = ???? = 2?/?.
Для того чтобы вычислить средний поток энергии через окружающую элемент поверхность, можно взять поверхность любой формы и размеров. В частности, если поверхность находится на большом удалении, одни члены в приведённых выше формулах для компонент ноля становятся пренебрежимо малыми по сравнению с другими. Их можно было бы опустить сразу же, но они были оставлены с намерением выяснить некоторые свойства различных компонент. В области, очень близкой к элементу (r— мало), и в выражении для Н? наибольшее значение имеет член, пропорциональный 1/r2. В выражениях для Еrи Е? наибольшее значение имеют члены, содержащие 1/r3. Таким образом, в близкой к элементу области магнитное поле находится почти и фазе с током, и H? можно рассматривать как обычное поле индукции, определяющееся согласно закону Ампера. Электрическое поле в этой области можно рассматривать как поле электростатического диполя. (Если ток течёт только и одном направлении, положительный заряд должен собираться на одном конце, а отрицательный – на другом, что и объясняет появление решения для диполя.) Главные компоненты электрического и магнитного полей в этой области сдвинуты во времени на 90°, так что, в соответствии с теоремой Пойнтинга, они не дают среднего во времени значения потока энергии.
На очень больших расстояниях от источника в выражениях Е и Н наибольшее значение играют члены, содержащие только 1/r (12.8 – 12.10).

На больших расстояниях от источника любая часть сферической волны становится, по существу, плоской волной, так что появление приведённых выше выражений, типичных для однородных плоских воли, не является неожиданным Е? и H? изменяются синфазно. Отношение Е? к Н? равно ?. Векторы Е и Н направлены под прямым углом друг к другу и к направлению распространения. Вектор Пойнтинга при такой ориентации векторов Е и Н будет направлен по радиусу.
Более 800 000 книг и аудиокниг! 📚
Получи 2 месяца Литрес Подписки в подарок и наслаждайся неограниченным чтением
ПОЛУЧИТЬ ПОДАРОКДанный текст является ознакомительным фрагментом.