Формулы
Вычислим коэффициент линейной корреляции вручную с помощью формул Excel.
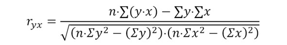
Вот соотношение для расчётов – см. формулу.

Коэффициент корреляции
Для вычислений нам понадобятся промежуточные расчёты. Найдём суммы «иксов», «игреков», их квадратов и произведений, которые участвуют в формуле. Для этого на новом листе организуем вспомогательную таблицу. Внизу столбцов подсчитываем суммы, воспользовавшись кнопкой экспресс-анализа.
Более 800 000 книг и аудиокниг! 📚
Получи 2 месяца Литрес Подписки в подарок и наслаждайся неограниченным чтением
ПОЛУЧИТЬ ПОДАРОКДанный текст является ознакомительным фрагментом.
Содержание
История
История
Loading ...
Failed to load data.
{{name}} | {{author}}