Зарисовка нелинейной функции
Вторая часть задания – это нелинейная функция второго порядка. Варианты заданий приводятся в таблице. Другие названия: квадратичная функция, парабола – см. формулу.

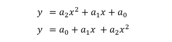
Уравнение параболы можно записать разными способами, поэтому нужно следить за тем, в каком порядке расположены члены уравнения.

Уравнение параболы
В первом примере степени аргумента расположены по убыванию. Во втором – по возрастанию. Как записать уравнение – не так важно. Главное – правильно прочитать те результаты, которые нам выдаст программа.
На новом листе отчёта опишем свой вариант задания. Напомним, что мы в качестве примера рассматриваем нулевой вариант.
Пределы изменения факторного признака: от 1000 до 3000.
Уравнение функции:
y = 7000 – 7 · x +0,002 · x2 +200 · e
Коэффициенты уравнения:
a0 = 7000
a1 = – 7
a2 = 0,002
s = 200
Коэффициент при случайной составляющей E обозначим буквой S, поскольку он определяет значение «сигмы».
Чтобы сделать зарисовку параболы, нужно определить два основных момента.
Вначале определим знак старшего коэффициента при второй степени фактора a2. Если коэффициент a2 положителен, то ветви параболы напрaвлены вверх. И наоборот.
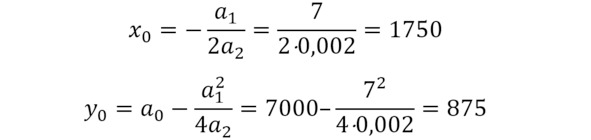
В нулевом варианте старший коэффициент равен
a2 = 0,002.
Коэффициент положительный, следовательно ветви параболы смотрят вверх.
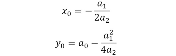
Затем определим положение вершины параболы.

Вершина параболы
Докажите справедливость формул для нахождения координат вершины параболы, приравняв первую производную функции к нулю. Затем подставьте полученное значение х0 в уравнение параболы и упростите выражение.
Подставляем наши коэффициенты и находим координаты вершины – см. формулы.

Координаты вершины
Далее определим значения функции на границах диапазона значений – см. формулы.

Крайние значения
И наконец добавляем границы случайного разброса по «правилу трёх сигм». Сигма в нулевом варианте равна 200, соответственно, три сигмы равно 600. Добавляем и отнимаем 600 в каждой из трёх точек – см. формулы.

Делаем зарисовку и вставляем в отчёт, как описано в предыдущем выпуске. Цель этого упражнения – представить общую форму графика, а не демонстрировать художественный талант или способности к черчению.

Зарисовка
Более 800 000 книг и аудиокниг! 📚
Получи 2 месяца Литрес Подписки в подарок и наслаждайся неограниченным чтением
ПОЛУЧИТЬ ПОДАРОКДанный текст является ознакомительным фрагментом.