Метод оценки и анализа программ (Program Evaluation and Review Technique, PERT)
Метод PERT (Program Evaluation Review Technique PERT), Техника Оценки и Анализа Программ и проектов часто используется при управлении проектами и проведении анализа производственных процессов. Метод PERT является инструментом, который вычисляет ожидаемое значение продолжительности проекта или отдельного процесса. При управлении проектами метод PERT практически всегда используется в сочетании с методом критического пути (англ. CPM, Critical Path Method).
Метод PERT и метод критического пути принципиально различаются по области их применения. Метод критического пути используется для оценки сроков завершения всего проекта или групп взаимосвязанных задач, а метод PERT применяют для оценки длительности отдельных задачи. Сама идея метода крайне проста – для того, чтобы оценить время выполнения задачи или процесса, вам необходимо знать оптимистичную, пессимистичную и наиболее вероятную оценку продолжительности этой задачи.

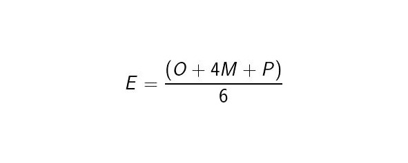
Формула PERT
O – оптимистичная оценка длительности задачи,
M – наиболее вероятная оценка длительности задачи,
P – пессимистичная оценка длительности задачи.
Это уравнение представляет собой ни что иное, как средневзвешенное значение, где, наиболее вероятная оценка длительности имеет вес 4 раза больший, чем оптимистична и пессимистичная оценки. Такой подход предотвращает слишком сильный перекос в одном из направлений.

Диаграмма «PERT Chart»
Более 800 000 книг и аудиокниг! 📚
Получи 2 месяца Литрес Подписки в подарок и наслаждайся неограниченным чтением
ПОЛУЧИТЬ ПОДАРОКДанный текст является ознакомительным фрагментом.